| 일 | 월 | 화 | 수 | 목 | 금 | 토 |
|---|---|---|---|---|---|---|
| 1 | 2 | 3 | 4 | 5 | 6 | 7 |
| 8 | 9 | 10 | 11 | 12 | 13 | 14 |
| 15 | 16 | 17 | 18 | 19 | 20 | 21 |
| 22 | 23 | 24 | 25 | 26 | 27 | 28 |
| 29 | 30 | 31 |
- 항공안전법
- Lead Radial
- 국제민간항공협약
- FPNM
- 2007년 제3차 운송용조종사 변형
- icao
- ICAO Annex 14
- 2007년 제4차 자가용조종사 변형
- dutch roll
- sideslip
- Turn radius
- load factor
- dihedral effect
- 13년도 공단 기출문제 변형
- Best Glide Speed
- Propeller
- annex14
- UAM
- Today
- Total
비행사의 다이어리
비행기동에서의 공력학적 힘 (선회) - 1 본문
바로가기 목차
- 구심력과 원심력
- 러더의 사용
비행기의 선회[목차]
![]() |
![]() |
고체 위를 달리는 자동차나 액체 위를 떠다니는 배와 달리 기체속에서 움직이는 비행기는 러더를 사용해 기수의 방향을 바꾸어도 공기중을 계속해서 미끄러져(slip) 나아가는 경향이 강해 운동 방향이 크게 변하지 않습니다. 물론 러더만 사용하여도 운동방향이 크게 변하지 않을 뿐, 어째든 운동방향이 변하기 때문에 선회를 할 수는 있으나, 선회가 오래 걸릴 뿐 아니라 상대풍을 비스듬하게 받게되기 때문에 러더만 가지고 선회를 하는 것은 결코 바람직하지 않습니다.

따라서 비행기가 운동방향을 효율적으로 바꾸기 위해서는 날개의 양력을 이용해야 합니다.

기울어진 양력[목차]
비행 중 날개가 기울어지면(bank), 거기서 발생하는 양력도 기울어지게 됩니다. 그리고 이렇게 기울어진 양력의 일부는 수평방향으로 작용하는 힘(Lift x)을 만들어 내게 됩니다.

이 양력의 수평성분(Lift x)은 비행기를 횡 방향으로 운동시키는 '사이드슬립(side-slip)'을 하게 하거나, 비행기의 운동 방향이 계속 바뀌는 '선회(turn)'를 하게 합니다.

일반적으로 비행기는 상대풍을 추종하는 특성인 '방향안정성'을 가지고 있기 때문에 날개를 기울이게(bank) 되면 상대풍을 비스듬하게 받는 사이드슬립 보다는 주로 상대풍을 정면으로 받는 선회를 하게 되는 경향이 있습니다.
비행기의 선회와 원운동[목차]
비행기의 선회는 일종의 '원운동' 입니다.

비행기가 선회를 하게 되면 양력의 수평성분이 비행기의 운동 방향과 수직으로 작용하여 '구심력(Centripetal force)'이 되고, 그러한 구심력에 대한 관성력으로서 '원심력(Centrifugal force)'이 나타나게 됩니다.
그리고 이러한 구심력과 원심력이 서로 평형을 이룰 때 비행기는 반지름이 일정한 원운동을 하게 됩니다.
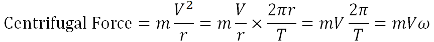
구심력과 원심력[목차]
여기서 구심력은 앞에서 살펴보았듯이 양력의 수평성분이기 때문에 날개가 급하게 기울어질수록 커지게 되며,
![]() |
![]() |
원심력의 크기는 비행기 속력의 제곱에 비례하고 선회 반지름의 크기에 반비례 하는데요.

정상적인 선회에서는 구심력과 원심력의 크기는 항상 같습니다.

선회 반지름(Turn radius)[목차]
따라서 만약 비행기가 구심력이 일정한(bank가 일정한) 선회를 할 때 속력이 증가하게 되면 원심력이 커질수도 있다고 생각할 수 있겠지만, 동시에 선회 반지름도 증가하기 때문에 결과적으로는 원심력이 증가하지 못하고 구심력과 계속 힘의 평형을 이루게 됩니다.

반대로 비행기 속력이 일정한 선회를 할 때 구심력이 증가하게(bank가 증가하게) 되면, 동시에 선회 반지름이 감소하여 결과적으로는 원심력이 증가하여 구심력과 계속 힘의 평형을 이루게 됩니다.

이처럼 '구심력을 만드는 날개 기울기'와 '원심력에 영향을 미치는 비행기의 속력'은 선회 반지름을 결정합니다.
그리고, 날개의 기울기 와 비행기의 속력은 선회율에도 영향을 미치게 되는데요.
선회율(Rate of Turn, ROT)[목차]
'선회율'이란 비행기의 선수방위(heading) 각도의 변화율을 말하며 일반적으로 1초 동안 변화한 각도로 나타냅니다. 즉, 각속도의 개념으로, 선회 반지름의 크기와 상관없이 비행기가 얼마나 빨리 한 바퀴를 돌 수 있는지를 알려줍니다.
앞서 원심력의 크기가 비행기 속력의 제곱에 비례하고 선회 반지름의 크기에 반비례 한다고 하였는데요.

이 것을 원심력과 각속도의 관계로 나타내보면(고등학교 물리 -_-;;),

원심력이 일정할 때 속력이 증가하면 선회율(각속도)은 오히려 떨어지게 된다는 것을 알 수 있습니다.
사실 속력이 증가하면 반지름은 증가한 속력의 제곱으로 커져야 원심력이 유지가 되기 때문에 속력의 증가량보다 이동해야하는 거리 증가량이 훨씬커져서 선회율은 오히려 떨어지게 됩니다. 만약 이렇게 속력이 증가하는 상황에서 선회율을 유지려면 bank를 증가시켜(구심력 증가) 선회 반지름이 너무 커지지 않도록 해야합니다.

선회 중 고도유지의 문제[목차]

그런데, 선회를 하기 위해 단순하게 날개에 bank를 주어 양력의 수평성분을 만들어내게 되면 비행기 무게(Weight)를 지탱하는 양력의 수직성분(Vertical component)이 그만큼 작아지기 때문에 고도를 유지할 수 없게 됩니다. 따라서 선회시 고도를 유지하려면 직진수평비행을 할 때보다 더 많은 양력이 필요합니다.
그래서 선회를 할 때는 '받음각(Angle of attack)'을 증가시켜서 전체적인 양력(Total lift)이 충분히 커지도록 하여 양력의 수직성분이 비행기의 무게를 감당할 수 있도록 해야 합니다.
![]() |
![]() |
그런데 이렇게 받음각이 증가하게 되면 필연적으로 '유도항력'이 증가하게 되어 속력을 잃게 됩니다. 따라서 선회를 할 때는 직진수평비행을 할 때보다 더 많은 추력이 요구됩니다.

하중계수(Load factor)[목차]

선회시 고도유지를 위해 전체 양력을 증가시키면 자연히 양력의 수직성분 뿐 아니라 수평성분으로 작용하는 구심력도 같이 증가하기 때문에 관성력으로 작용하는 원심력이 증가하게 됩니다.
이렇게 증가한 원심력에 중력(=비행기의 무게)이 더해지면 실제로 느끼게 되는 비행기의 무게는 더욱 커지게 됩니다.

이처럼 원심력에 중력이 더해진 힘을 '하중(Load)'이라고 하며 하중의 크기는 비행기의 전체 양력과 항상 같습니다.
따라서 하중을 측정하는 방식인 하중계수(Load factor)는 '비행기 총 무게에 대한 전체 양력의 비율'로 측정하며 단위는 중력가속도(G-force)를 나타내는 'G'를 사용합니다. 가령, 1G는 직진수평비행을 할 때와 같이 비행기의 무게와 양력이 같을 때이며, 2G는 양력, 즉 하중이 비행기 무게의 2배가 됨을 나타냅니다.

참고로 비행기가 60도 bank로 고도 변화 없이 선회를 하게 되면 2G의 하중을 받게 됩니다.
선회 중 YAW 현상이 나타날때[목차]
앞서 비행기는 일반적으로 상대풍을 추종하는 특성인 '방향안정성'을 가지고 있기 때문에 날개를 기울이게(bank) 되면 상대풍을 비스듬하게 받는 사이드슬립 보다는 상대풍을 정면으로 받는 '선회'를 하게 되는 경향이 있다고 하였습니다.

만약 비행기의 방향안정성이 완벽하다면 양력의 수평성분은 비행기의 운동방향에 항상 수직하게 나타나기 때문에 이상적인 원운동을 할 수 있지만, 현실에서는 여러가지 이유로 인해 비행기의 방향안정성이 100% 완벽할 수는 없습니다.

방향안정성이 완벽하지 않으면 비행기는 사이드슬립과 비슷하게 어느 한쪽으로 YAW하게 되어 상대풍을 비스듬하게 받게 됩니다. 이때 비행기의 동체를 하나의 에어포일로 보게되면 비스듬히 작용하는 상대풍과 받음각(AOA)이 만들어지게 되는데, 바로 이 받음각으로 인하여 비행기에는 에어포일에서의 공력학적인 힘(aerodynamic force)에 해당하는 힘이 나타나게 됩니다. (참고로 선박은 오로지 러더사용으로 나타나는 이 힘에서 구심력을 얻어 선회를 합니다.)

이러한 힘, 즉 'YAW에 의한 힘'이 나타나게 되면 비행기의 선회는 불필요한 항력 및 연료의 비대칭적인 소모를 동반하면서 반지름이 정상적인 선회보다 크거나 작은 선회가 될 수 있는데, 바로 'Slipping 선회' 와 'Skidding 선회' 입니다.

Slipping 선회[목차]

Slipping 선회는 기수가 선회경로 바깥쪽으로 돌아간(yaw) 상태를 말합니다.

선회 바깥쪽으로 YAW 되어있는 상태이므로 YAW로 나타난 힘이 선회 바깥쪽으로 작용하여 YAW로 인한 양력이 선회 구심력을 감소시키고 선회율을 떨어뜨리게 됩니다. 즉, bank를 준 것에 비해 선회율(ROT)이 나오지 않게 됩니다.


따라서 bank로 인한 날개 양력의 수평성분(구심력 아님)에 비해 원심력이 약하게 나타나기 때문에, 정상적인 선회보다 하중이 작게 나타나게 됩니다.
또한 구심력이 감소하였기 때문에 정상 선회보다 넓은 선회 반지름을 가지게 됩니다.

어떻게 보면 사이드슬립과 비슷하지만, 날개 양력의 수평성분과 YAW에 의한 힘이 평형을 이뤄 기수의 방향이 일정한 사이드 슬립과 달리 Slipping 선회는 날개 양력의 수평성분이 YAW에 의한 힘과 평형을 이루지 않고 더 강하여 그 일부가 원운동의 구심력으로 작용하기 때문에 기수의 방향이 계속해서 변한다는 차이가 있습니다.
Slipping 선회에서 벗어나려면 bank를 줄여서 양력의 수평성분과 구심력을 일치시키거나, 선회율을 증가시켜 구심력을 양력의 수평성분에 맞추거나, 아니면 두가지 방법을 모두 사용하여 선회 경로 밖으로 벗어난 기수를 선회 경로와 일치시켜 YAW로 인한 힘을 없애줘야 합니다.
Skidding 선회[목차]

Skidding 선회는 기수가 선회경로 안쪽으로 돌아간(yaw) 상태를 말합니다.

선회 안쪽으로 YAW 되어있는 상태이므로 YAW에 의한 힘이 선회 안쪽으로 작용하여 YAW로 인한 양력이 선회 구심력을 증가시키고 선회율을 높이게 됩니다. 즉, bank를 준 것에 비해 선회율(ROT)이 더 나오는 현상입니다.


따라서 bank로 인한 날개 양력의 수평성분(구심력 아님)에 비해 원심력이 강하게 나타나기 때문에, 정상적인 선회보다 하중이 크게 나타나게 됩니다.

또한 구심력이 증가하였기 때문에 정상 선회보다 좁은 선회 반지름을 가지게 됩니다. 마치 자동차가 드리프트로 급커브를 도는 것과 비슷한 이치입니다.

Skidding 선회에서 벗어나려면 bank를 증가시켜 양력의 수평성분과 구심력을 일치시키거나, 선회율을 감소시켜 구심력을 양력의 수평성분에 맞추거나, 아니면 두가지 방법을 모두 사용하여 선회 경로 밖으로 벗어난 기수를 선회 경로와 일치시켜 YAW로 인한 힘을 없애줘야 합니다.
러더의 사용[목차]
선회 중 YAW가 생기게 되는 원인은 다양합니다. 다양한 원인들이 있기 때문에 비행기가 가진 방향안정성만으로는 선회경로를 유지하는데 한계가 있습니다. 따라서 조종사는 '러더(rudder)'를 사용하여 선회를 보조해야 합니다.

러더는 비행기의 기수의 방향을 조종하여 일정 범위내에서 상대풍을 받는 각도를 변화시킬 수 있는 조종면 입니다(yawing). 물론 이 과정에서 나타나는 YAW에 의한 힘만으로도 선회를 할 수 있지만, 이렇게 러더만으로 선회를 하게되면 100% skidding이 일어나기 때문에 이것은 굉장히 비효율적이면서도 항력증가, 연료의 비대칭 소모1) 및 스핀(spin)에 진입할 가능성2)등 여러가지 문제를 야기할 수 있는 방법입니다.

따라서 러더는 선회 중 상대풍으로 부터 틀어진 기수를 바로잡아 YAW에 의한 힘을 없애고, 선회율을 조절하며, 이를 통해 구심력과 원심력의 균형을 잡는데 사용해야 됩니다.

- It increases drag, which reduces the range of the aircraft, and, in a high-wing aircraft, can even cause fuel to be drawn unequally from the tanks.(Gleim Aviation: https://www.gleimaviation.com/2020/09/04/aerodynamics-of-turns/) [본문으로]
- The skid causes an over banking tendency, which you counter by adding opposite aileron (often subconsciously). That also pulls the nose down, which you oppose with elevator. Suddenly the aircraft stalls and snaps to the left in an incipient spin.(Bold method: https://www.boldmethod.com/learn-to-fly/aerodynamics/slip-skid-stall/) [본문으로]
'비행기 조종사 학과 > 비행원리' 카테고리의 다른 글
| 하중계수(Load Factors) (17) | 2021.03.22 |
|---|---|
| 비행기동에서의 공력학적 힘 (상승, 강하) - 2 (16) | 2021.03.06 |
| Free Directional Oscillations(Dutch Roll) 과 Spiral Instability (6) | 2021.02.10 |
| 방향(수직)안정성 (Directional(Vertical) Stability) (17) | 2020.11.13 |
| 가로안정성 (Lateral Stability) (24) | 2020.08.23 |





