| 일 | 월 | 화 | 수 | 목 | 금 | 토 |
|---|---|---|---|---|---|---|
| 1 | 2 | 3 | 4 | 5 | 6 | 7 |
| 8 | 9 | 10 | 11 | 12 | 13 | 14 |
| 15 | 16 | 17 | 18 | 19 | 20 | 21 |
| 22 | 23 | 24 | 25 | 26 | 27 | 28 |
| 29 | 30 | 31 |
- UAM
- FPNM
- Lead Radial
- 항공안전법
- icao
- annex14
- 13년도 공단 기출문제 변형
- ICAO Annex 14
- sideslip
- 국제민간항공협약
- 2007년 제3차 운송용조종사 변형
- Best Glide Speed
- Propeller
- Turn radius
- dutch roll
- 2007년 제4차 자가용조종사 변형
- dihedral effect
- load factor
- Today
- Total
비행사의 다이어리
실속(Stall)과 하중계수(Load factor) 본문
바로가기 목차
하중계수(Load factor)가 실속(Stall)에 미치는 영향
- 하중계수(Load factor)와 실속속도(Stall speed)
가속실속의 회복(Accelerated stall recovery)
실속(Stall)에 대한 오해와 진실[목차]

간혹 실속을 날개에서 양력이 완전히 사라진 상태로 오해하는 경우가 있는데, 이는 사실이 아닙니다. 실속은 받음각이 임계받음각 이상으로 과도하게 증가하여 날개를 흐르던 공기가 박리되고 양력이 '감소'함으로써 힘의 평형이 깨지게 되어 중력을 버텨낼 수 없는 상태에 들어간 것일 뿐, 양력이 완전히 사라진 상태를 의미 하지 않습니다.

그래서 양력이 완전히 사라지지 않았기 때문에 실속에 들어가도 세로안정성이 확보된 비행기의 경우 기수 하강 모멘트가 살아있어 회복이 가능 한 것입니다. 만약 실속 진입 시 양력이 완전히 사라졌다고 가정하면 비행기가 실속에 들어갔을때 받음각을 줄일 수 있는 모멘트 자체가 없어지기 때문에 회복자체가 불가능하게 됩니다.

한편, 실속 회복과 관련해서도 많은 사람들이 오해하는 경우가 있는데, 바로 속도를 증가시켜서 실속을 회복한다고 잘못 알고 있는 경우 입니다.
사실, 실속 현상을 두고, 실속(失速)이라는 그 명칭 때문에, 흔히 비행기의 속도가 줄어들면서 양력이 부족해지는 현상으로 잘못 알고 있거나, 날개 표면에서 나타나는 공기 흐름 박리의 직접적인 원인을 줄어든 속도에 기인한 것으로 착각하는 경우가 있습니다. 그래서 실속의 회복 역시 속도를 증가시켜서 한다고 믿는 경우가 종종 있지만, 절대로 속도만 가지고서는 실속에서 회복 할 수 없습니다!
왜냐하면, 실속(stall)은 속도(airspeed)와 관계가 없기 때문입니다!

오직, 받음각(AOA: ANGLE OF ATTACK)에 영향을 받습니다!

그래서 실속 회복은 원칙적으로 받음각을 줄여주는 것 만으로도 회복이 가능 합니다. 다만, 실속 회복시 파워를 넣어 주는 것은 속도가 증가할 수록 받음각을 빠르게 줄여주기가 용이하기 때문입니다. 즉, 빨리 실속에서 회복할 수 있습니다.
그럼 POH(Pilot Operation handbook)나 AFM(Airplane flight manual)에 명시된 실속속도는 대체 무엇일까요?
실속속도(Stall speed)[목차]
대기 상태가 일정하고 날개 형태가 일정할 때, 양력(Lift)은 '속도'와 '받음각', 이 두가지 요소에 큰 영향을 받습니다.

속도가 양력에 영향을 주는 것은 분명한 사실이지만, 실제 비행에서 속도가 감소하여 양력이 줄어드는 경우는 찾아보기 힘듭니다. 왜냐하면 비행기의 추력을 줄여도 중력에 의해 다시 가속되어 속도가 항상 유지되기 때문입니다.

따라서 속도를 줄일 수 있는 유일한 방법은 양력에서 속도가 차지하는 비율을 줄이고 받음각이 차지하는 비율을 늘리는 것 뿐 입니다. 이렇게 계속 속도 대신 받음각을 증가시키면 결국 받음각은 임계받음각(Critical AOA)에 도달하여 실속에 들어가게 되는데, 이 과정이 마치 속도가 감소하여 양력을 잃게 되는 것처럼 보여서 속도가 실속에 영향을 미친다고 오해할 수 있습니다.

하지만 실속속도는 실속받음각을 간접적으로 나타내는 한 방법일 뿐, 실속이 나타나는 절대적 기준이 될 수 없습니다.
그래서 비행기의 실속속도는 상황에 따라서 변화하지만 실속받음각은 항상 일정합니다. 심지어 고속으로 비행하더라도 비행기가 임계받음각을 초과하게되면 실속에 빠지게 됩니다.
가속실속(Accelerated stall)[목차]
비행 중에 조종간을 세게 당겨 양력을 크게 증가시키면 속도와 상관없이 언제든지 실속에 들어갈 수 있습니다. 심지어 비행기가 낼 수 있는 최고속도를 유지하고 있어도 조종간을 세게 당기면 실속에 들어갈 수 있습니다. 왜냐하면 조종간을 당겨 양력을 증가시키는 과정에서 받음각이 증가하기 때문입니다.

비행기의 방향변화를 일종의 '원운동'으로 간주해서 보면 급격한 방향변화가 일어날수록 원운동의 반지름은 작아지게 됩니다. 이 때 양력과 원운동의 반지름의 관계를 살펴보면 다음과 같은 관계식으로 나타낼 수 있습니다.

여기서 속도 V는 서로 약분되므로 사라지고 다음과 같은 식만 남게 됩니다.

이 식을 통해 원운동의 반지름은 속도와 상관없이 오직 양력계수의 영향만 받는다는 것을 알 수 있습니다. 그리고 양력계수를 변화시키는 요인은 사실상 받음각이므로 원운동의 반지름과 받음각의 관계는 다음과 같습니다.

따라서 비행기가 작은 원운동의 반지름을 갖는 급격한 기동을 하게 되면 속도와 무관하계 받음각이 커지게 되므로 고속에서도 충분히 임계받음각까지 증가하여 실속에 들어갈 수 있게 되는 것입니다. 이렇게 원운동과 같은 가속도 운동으로 나타나게 되는 실속을 가속실속(accelerated stall)이라고 합니다.
물론 고속에서 비행기가 이와같은 가속실속에 들어가게 되면, 실속이 되기 전에 고속+고받음각으로 인한 어마어마한 양력과 하중(Load)을 받게 되어 동체와 날개가 작살날 수도 있습니다.

하중계수(Load factor)가 실속(Stall)에 미치는 영향[목차]
이렇게 가속실속은 일반적인 실속과 달리 속도가 감소하지 않고 받음각이 증가되어 나타나기 때문에 실속 진입 전 '양력'이 강하게 작용하게 됩니다. 따라서 기본적으로 힘의 평형이 유지되는 상태에서 진입하게 되는 일반적인 실속과 달리, 양력 증가로 인해 힘의 평형이 깨진 상태에서 실속에 진입하게 되므로, 1G 이상의 하중계수가 나타나게 됩니다.
여기서 가속실속에서도 하중계수의 크기(=양력의 크기)를 알고 있으면, 일반적인 비가속 실속과 마찬가지로 속도와 받음각이 양력에서 차지하는 비율관계를 따져서 실속받음각의 크기를 실속속도로 간접적으로 나타낼 수 있는데요,

하중계수의 크기가 커질수록 실속속도는 커지게 됩니다. 왜냐하면 아래 그림 처럼 양력이 증가할 때 받음각 대신 속도를 증가시켜 양력을 늘려야 받음각이 임계받음각을 초과하지 않기 때문입니다.

만약 속도의 증가율이 양력의 증가율을 적절하게 따라가지 못하면 받음각이 대신 커지게 되고, 여기서 임계받음각을 초과하게 되면 무조건 실속에 진입하게 됩니다.

이와 같이 가속실속에서 하중계수는 실속속도를 결정하는 중요한 요인이 됩니다.
하중계수(Load factor)와 실속속도(Stall speed)[목차]
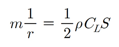
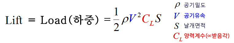
이번에는, 양력공식을 통해 하중계수와 실속속도의 관계에 대해 좀 더 자세하게 살펴봅시다.

먼저 위 양력공식의 양변을 비행기의 중량으로 나누게 되면 하중계수에 관한 식으로 바꿀 수 있습니다.

여기서 CL은 임계받음각을 나타내는 상수로 고정시켜놓고, 하중계수와 실속속도와의 관계를 살펴보면 루트함수의 관계를 가지는 것을 알 수 있습니다.

그래서 하중계수가 1G인, 직진수평비행 때의 실속속도를 기준으로, 하중계수가 4G일 때, 실속속도는 2배 증가하며, 하중계수가 9G일때 실속속도는 3배 증가하게 됩니다. 만약 비가속 실속속도가 40 knots인 비행기가 9G를 받게되면, 실속속도는 120 knots로 증가하게 되는 것입니다.

참고로, 하중계수와 실속속도의 관계는 관성력의 증가라는 관점에서 보면, 비행기의 무게가 증가와 그에 따른 실속속도 증가로도 볼 수 있습니다.

비행기의 무게(또는 하중)가 증가했을때 속도가 동일하다면, 고도유지를 위해 더 많은 양력이 필요하기 때문에 기본적으로 받음각이 커져 있는 상태이고, 이 상태에서 속도를 줄여 받음각을 증가시키면 무게가 증가하지 않았을 때 보다 임계받음각에 더 일찍 도달하기 때문입니다.
선회(Turn)와 실속속도(Stall speed)[목차]

비행기가 '선회'를 할 때도 직진수평비행(1G)을 할 때보다 하중계수가 증가하기 때문에 실속속도는 커지게 되며, 이 속도 미만에서는 가속실속에 걸리게 됩니다. 그리고 선회 중 걸리게되는 하중은 Bank량에 의해 결정되기 때문에 선회 중 Bank와 실속속도와의 관계를 정의할 수 있습니다.
![]() |
![]() |
선회 중 Bank와 실속속도의 관계를 정의하기에 앞서, 먼저 Bank량과 하중의 관계를 살펴보면 다음과 같습니다.

그리고 하중계수와 실속속도와의 관계는 다음과 같으므로,

Bank와 실속속도의 관계는 다음과 같이 정의 됩니다.

이것을 그래프로 그려보면 다음과 같습니다.

이처럼 선회 중 뱅크가 증가하면 실속속도는 증가하게 됩니다.
결국 선회도 원운동의 관점에서 보면 반지름이 작은(뱅크가 많거나 속도가 작은) 기동을 할 수록 가속실속에 취약하며, 반대로 반지름이 큰(뱅크가 작거나 속도가 많은) 기동을 할 수록 상대적으로 가속실속에 덜 취약하다는 것을 알 수 있습니다. 그래서 뱅크가 많은 급선회를 할 때는 적어도 충분한 속도를 확보해야 가속실속으로부터 안전할 수 있습니다.
가속실속의 회복(Accelerated stall recovery)[목차]

가속실속에서의 회복 또한 비가속 실속에서의 회복과 마찬가지로 받음각을 줄여주는 것이 핵심입니다. 따라서 선회 중이던 상승 중이던 일단 가속실속에 들어가게 되면 기수부터 낮추어 하중과 받음각부터 줄여주어야 합니다. 그리고 선회의 경우 실속에서 벗어났다고 판단되었을 때 뱅크를 풀어 줍니다. 그 다음 파워는 속도보고 알아서 적절히 조절, 끝.

'비행기 조종사 학과 > 비행원리' 카테고리의 다른 글
| 프로펠러(Propeller)의 기본 원리 (28) | 2021.12.26 |
|---|---|
| 기동속도(Maneuvering speed) (1) | 2021.06.08 |
| 하중계수(Load Factors) (17) | 2021.03.22 |
| 비행기동에서의 공력학적 힘 (상승, 강하) - 2 (16) | 2021.03.06 |
| 비행기동에서의 공력학적 힘 (선회) - 1 (37) | 2021.02.23 |

