| 일 | 월 | 화 | 수 | 목 | 금 | 토 |
|---|---|---|---|---|---|---|
| 1 | 2 | 3 | 4 | 5 | 6 | 7 |
| 8 | 9 | 10 | 11 | 12 | 13 | 14 |
| 15 | 16 | 17 | 18 | 19 | 20 | 21 |
| 22 | 23 | 24 | 25 | 26 | 27 | 28 |
| 29 | 30 | 31 |
- 13년도 공단 기출문제 변형
- Best Glide Speed
- load factor
- Turn radius
- UAM
- 2007년 제4차 자가용조종사 변형
- Propeller
- icao
- FPNM
- 2007년 제3차 운송용조종사 변형
- Lead Radial
- dutch roll
- ICAO Annex 14
- 항공안전법
- annex14
- sideslip
- dihedral effect
- 국제민간항공협약
- Today
- Total
비행사의 다이어리
양항비, 양력(LIFT)과 항력(DRAG)의 비(RATIO), 언제 최대가 될까? (수정) 본문
'양항비'는 말 그대로 비행할때 발생하는 '양력'과 '항력'의 비율 이다.

항공기가 중력에 대항하여 공중에 뜨기 위해서는 '양력'이 필요하다. 이러한 양력은 항공기의 날개를 통해 두가지 방법으로 얻을 수 있는데 하나는 '속도(SPEED)' 이며 다른 하나는 '받음각(AOA)'이다.
그리고 떠있는 항공기가 앞으로 나아가면 '항력'이 발생하게 된다. 이러한 '항력'은 크게 '유해항력'과 '유도항력'으로 나뉘는데,
항공기의 속도는 '유해 항력'(PARASITE DRAG)'을 발생시키고,
항공기의 받음각은 '유도 항력'(INDUCED DRAG)'을 발생시킨다.
따라서 항공기가 저속으로 비행 중 일때는 유해항력이 약하게 발생하고, 대신 동일한 양력을 유지하기 위해 큰 받음각을 유지해야 하므로 '유도항력'이 강하게 나타나게 된다.
반대로 항공기가 고속으로 비행 중 일때는 유해항력이 강하게 발생하고 받음각은 작아짐으로 유도항력은 약하게 발생하게 된다.
그렇다면 '유해 항력'(PARASITE DRAG)'이란 무엇인가?
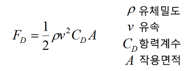
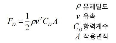
항공기에 작용하는 '유해항력'은 유체속에서 움직이는 물체에 나타나는 일반적인 '항력(DRAG)'과 동일한 개념으로 볼 수 있다.

따라서 이런 형태의 저항은 비단 항공기 뿐 만이 아니라 선박, 잠수함, 자동차 등등 유체속을 움직이는 모든 물체에서 나타난다. 항력의 크기는 유속에 비례하는데 일반적인 항력 F(D)의 공식은 다음과 같다.

위 식에서 항력은 유속의 제곱에 비례한다. 따라서 항공기의 유해항력의 크기또한 속력 제곱에 비례한다고 볼 수 있다.
다음으로 '유도 항력(INDUCED DRAG)'이 무엇인지 살펴보자.
유도항력은 유해항력과 달리 항공기 날개의 양력에서 비롯되는 조금 특이한 항력이다. 그래서 정확한 명칭은 'LIFT-INDUCED DRAG'이다.
![]() |
![]() |
양력은 날개에서 만들어지는 공기역학적인 힘(Aerodynamic force)을 분해 하였을때 나타나는 상대풍(FREE-STREAM)에 수직인 힘이다. 그리고 그 수직인 힘, 즉 양력의 반작용에 대한 결과물로서 DOWN WASH가 나타난다.
그런데 문제는, 현실에서는 양력이 아닌 다른 원인으로도 DOWN WASH가 나타날 수 있다는 것이다.
![]() |
![]() |
< 날개에서 발생하는 DOWN WASH의 이상(좌)과 현실(우) >
그렇게 나타난 DOWN WASH는 양력과 관계가 없기 때문에 양력의 손실이라고도 볼 수 있으며, 손실된 양력을 보충하기 위해서는 받음각을 더 증가할 수 밖에 없다. 따라서 실제로는 날개에서 만들어진 양력 이상의 더 많은 DOWN WASH가 발생하게 되고 이는 상대풍의 흐름을 왜곡시키기 때문에 전체 공기역학적인 힘은 아래로 기울어지게 된다.
결과적으로는 위 오른쪽 그림과 같이 항력이 더 증가하게 되는데, 이렇게 증가한 부분의 항력을 유도항력이라고 한다.
그렇다면 이렇게 양력과 관련없는 DOWN WASH가 나타나게 되는 원인은 무엇일까?


그것은 바로 날개 끝에서 날개 위면과 아랫면의 기압 차로 발생하는 와류, 즉 WING-TIP VORTEX에 기인한다.

쉽게 말해 날개 아래로 흘러가야할 공기가 날개 끝단(WING-TIP)에서 빠져나와 윗면으로 치고 올라가는 바람에 양력대신 VORTEX를 만들게 되고 이러한 VORTEX를 구성하는 UP WASH와 DOWN WASH 중 DOWN WASH가 날개 안쪽에 작용하여 나타나게 되는 것이다.


이와같이 VORTEX로 만들어진 DOWN WASH 현상은 날개 끝으로 갈수록 현저하게 나타나고 날개 뿌리근처로 갈 수록 상대적으로 약해진다.


긴 날개를 가진 비행기가 유도항력이 적은 것도 이런 이유 때문이다. 따라서 이론적으로는 날개 끝단이 존재하지 않는 2차원 에어포일(AIRFOIL) 에서는 이와 같은 VORTEX로 인한 DOWN WASH 흐름이 아예 나타나지 않게 된다. 즉 유도항력은 0 이 된다.

이러한 유도 항력은 특히 저속일때 날개 아랫면의 공기가 윗면으로 올라가 날개끝 와류를 생성할 시간적 여유를 많이 주게 됨으로 강하게 나타나게 된다. 즉, 달리 표현하자면 받음각이 커질 때 유도 항력도 같이 커지는 것이다.
유도항력 D(i)의 크기는 다음의 공식에서와 같이 항공기 속력의 제곱에 반 비례한다.

.
.
자 그렇다면 이제 수평비행중인 항공기의 속도를 변화시키면 양항비는 어떻게 변화할지 살펴보자!
우선 수평비행이라고 가정했으므로 양력은 항공기 무게만큼 평형을 이루고 있기 때문에 변하지 않기때문에 상수로 둘 수 있다.
그럼 남은 변수는 속도가 되겠는데, 우리는 위에서 이미 유해 항력과 유도 항력 모두 속도의 변수를 가지고 있음을 확인하였다.
즉, 양력은 상수, 항력은 변수가 되겠다.
식으로 표현해 보면,

여기에 속도 'V'를 제외한 나머지 상수들을 대충 아무숫자나 채워넣고 엑셀로 양항비 그래프를 그려보면,

부드러운 언덕모양의 곡선이 나오게 된다. 즉 모든 속도를 통틀어 양항비가 최대가 되는 곳은 딱 어떤 특정 속도 한 곳 뿐임을 알 수 있다.
이번엔 항력만 따로 유해항력과 유도항력을 분리해서 그래프를 그려 양항비 그래프와 비교하여 보자.

양항비 최대가 되는 지점이 바로 유해항력과 유도항력이 같아지는 지점임을 알 수있다.
(위 양항비 및 항력 그래프 엑셀 원본자료가 필요하면 " 양항비_항력_ 그래프.xlsx" <-클릭)
다른방식으로도 유해항력과 유도항력이 같을때 항력이 최소가 되는것을 증명할 수 있는데, 그것은 바로 고등학교 공통수학 때 배운 산술평균과 기하평균과의 관계를 이용하는것이다. 다음은 오래되서 까먹었을지 모를 산술평균과 기하평균과의 관계식이다.

a를 유해항력, b를 유도항력으로 보았을때, 두 항력의 합, 즉 전체항력이 최소가 될 때가 바로 양항비 최대 지점 이므로 유해항력 a와 유도항력 b가 같아야 하는것이다.
여담으로, 양항비 최대인 지점은, 앞서 살펴본 양항비 그래프에서와 같이, 속도증가에 따른 유도항력의 감소율이 유해항력의 증가율보다 크기 때문에 상대적으로 저속인 구간에 분포한다. 그 말은 항공기 착륙시 오히려 방해가 될 수 있다는 뜻이다.
지금까지 양항비(LIFT-DRAG RATIO)에 관해 살펴보았다. 이 글을 쓰게 된 계기는 왜 양항비는 유해항력과 유도항력이 같을때 최대가 될까 라는 질문에서 출발하였다. 그리고 그 질문에 대한 최종적인 답은 신기하게도 고등학교 다닐때 배운 산술-기하 평균 관계에 있었다.
그때는 저걸 왜 배우는지 모르고 그냥 배웠었는데,...
그리고 그때 그 시절, 대체 왜 공부를 해야하는지 그 해답을 찾지못해 방황하기도 했었는데,...
어른이 된 이제서야 그 해답을 하나 둘 찾게되는 것 같다.

FIN.
'비행 관련 기타' 카테고리의 다른 글
| 2021서울 ADEX, 무인기 시대의 서막을 알리다.(스압) (0) | 2021.10.24 |
|---|---|
| STANDARD RATE TURN 뱅크 계산식 분석 (7) | 2021.07.28 |
| Vg 다이어그램을 그려보자! (4) | 2021.06.16 |
| 최대활공거리가 항상 일정한 이유 (15) | 2021.05.24 |
| 상반각(dihedral angle)에 대한 오류, 그리고 그것을 해결하는 Dihedral effect (21) | 2020.07.25 |




